Positiva Compañía de Seguros Logo
Edictos recaudo y cartera

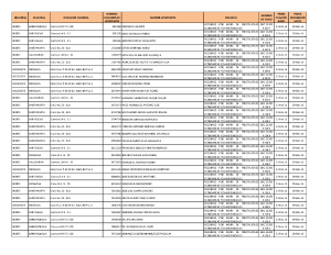
A continuación encontrarás la relación de avisos (edictos), proyectados hasta la fecha en procesos pre jurídicos de cobro adelantados por concepto de aportes en mora; también en procesos de recobros de prestaciones económicas y/o asistenciales por mora a la fecha del evento o inconsistencias administrativas.
Carpetas

AVISOS RECOBROS 2016-02.pdf

Copyright © 2025 | Todos los derechos reservados

flecha
flecha

Cookies

Utilizamos cookies propias y de terceros para mejorar nuestros servicios.

Aviso de Cookies
Saltar al contenido principal
× ¿Te puedo ayudar?